Pharmaceutical Reference Standards / Impurity Standards

Roxithromycin
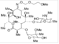
Roxithromycin
N-Demethyl Roxithromycin (EP Imp F)
Roxithromycin EP Impurity D
Roxithromycin Impurity A
Roxithromycin Impurity J
(9Z)-Erythromycin A Oxime
Roxithromycin Impurity B
Roxithromycin N-oxide
Roxithromycin EP Impurity E
Roxithromycin EP impurity G
Roxithromycin EP Impurity H
Roxithromycin EP Impurity I
2-(2-Methoxyethoxy)ethyl chloride
Roxithromycin Impurity 1
N-Nitroso N-demethyl Roxithromycin
N-Nitroso,N-Desmethyl Roxithromycin
Roxithromycin B oxime

Isotope Labelled Compounds

Roxithromycin-D7