Pharmaceutical Reference Standards / Impurity Standards

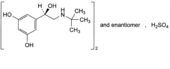
Terbutaline Sulphate
Terbutaline Sulphate
Terbutaline
Terbutaline EP Impurity A
Terbutaline EP Impurity B
Terbutaline Sulphate EP Impurity C Hydrochloride
Terbutaline Sulphate EP Impurity C
Terbutaline Sulphate EP Impurity C
Terbutaline Sulphate EP Impurity D
Terbutaline EP Impurity D Hydrochloride
Terbutaline USP Related Compound A
Terbutaline Impurity 10
Terbutaline Nitroso Impurity 1
Terbutaline USP Related Compound D

Isotope Labelled Compounds

Terbutaline-D3
Terbutaline-D9 Hydrochloride
Terbutaline Nitroso D9
Terbutaline D9