Pharmaceutical Reference Standards / Impurity Standards

Tranexamic Acid
Tranexamic Acid
Racemic Tranexamic Acid
Teranexamic Acid EP Impurity A
Tranexamic Acid EP Impurity A
Tranexamic Acid EP Impurity B
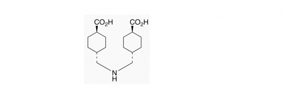
Tranexamic Acid EP Impurity C
Tranexamic Acid EP Impurity D
Tranexamic Acid EP Impurity E
Tranexamic Acid EP Impurity F
Tranexamic Acid Impurity 9
6-(Aminomethyl)-1,2-benzoxazol-3-amine
[13C6] Tranexamic Acid
(1R,4R)-4-(stearamidomethyl)cyclohexanecarboxylic acid
4-(Trichloromethyl)benzoic acid
Tranexamic Acid EP Impurity C Hydrochloride
N-Nitroso Tranexamic Acid EP Impurity A
Tranexamic Acid EP Impurity A Hydrochloride
Tranexamic Acid Impurity 1
Tranexamic Acid Impurity 2
Tranexamic Acid Impurity 2

Isotope Labelled Compounds

Tranexamic Acid- D2
Tranexamic Acid-13C2-15N
Tranexamic Acid Trifluoroacetate Salt-13C6